_ Ursache für Schäden durch Pilze im Holz sind Abrissfugen in der Beschichtung, hervorgerufen durch Quell- und Schwindbewegungen zwischen Längs- und Querholz in der Fensterecke.
Um diesen Problemen zu begegnen wird bei den heutigen Holzfenstern einerseits durch die gezielte Holzauswahl (Rift/Halbrift) der Fensterkanteln das Quellen und Schwinden reduziert, andererseits durch Oberflächenbeschichtungen die Feuchteaufnahme des Holzes deutlich verzögert. Beide Strategien sind jedoch unzureichend in Bezug auf die Dauerhaftigkeit, weshalb es in einzelnen Ländern weitere Zugänge gibt, Fäulnisschäden zu verhindern. In Deutschland wird in der aktuellen Holzschutznorm DIN 68800-3 ein vorbeugender chemischer Holzschutz gegen holzzerstörende Pilze empfohlen, der vor der Verleimung der Eckverbindung auszuführen ist. Dadurch werden zwar die Auswirkungen einer dauerhaften Auffeuchtung eingeschränkt, die eigentlichen Schadensursachen für Fäulnis, Wassereintrittspforten in der Fensterecke, jedoch nicht behoben.
Im Rahmen des Projektes „Dauerhafte Fensterecken“ wurde an der Holzforschung Austria, gemeinsam mit Partnern aus der Wirtschaft, an konstruktiven Lösungen zur Stabilisierung der Fensterecke geforscht. Als Einflussparameter wurden folgende Faktoren identifiziert und während der industriellen Fertigung von 252 Fenstereckverbindungen variiert:
- Art der Verklebung: „halb“ (Klebstoffauftrag „nur“ an den Schlitz-/Zapfenflächen) oder vollflächig „tageslicht“ (Klebstoffauftrag auch an der Brüstungswange).
- Die Art der Ausbildung des Übergangsbereiches zwischen Längs- und Querholz: flächenbündig oder mit V-Fuge.
- Fugenversiegelung im Falle der Ausbildung einer V-Fuge.
Ferner wurde untersucht, welche Aufbringmengen an Holzschutzmittel mit den im Fensterbau üblichen Methoden wie Fluten oder Tauchen, bzw. bei Setzen der Holzschutzmaßnahmen vor oder nach Verklebung erzielbar sind.
Holzschutzmittelaufnahme in der Fenstereckverbindung
Für die chemische Analytik wurden die notwendigen Holzproben aus 64 Fensterecken herauspräpariert. Dazu wurde in jeweils 1,5 mm Entfernung von der Brüstungsfuge im Längs- bzw. Querholz ein Sägeschnitt ausgeführt und die entsprechende Holzprobe entnommen (Bild 1). Die Wirkstoffausstattung der aufgebrachten Holzschutzmittel bestand einerseits aus dem Wirkstoff IPBC zum Schutz vor holzverfärbenden Bläuepilzen, andererseits aus der Wirkstoffkombination IPBC und Tebuconazol, um eine zusätzliche Wirkung gegenüber holzzerstörenden Pilzen zu erzielen.
Die entnommenen Holzproben wurden gemahlenen und die gewonnenen Extrakte analysiert. Wie erwartet, führte die Applikation des Holzschutzmittels vor der Verklebung zu einer höheren Schutzmittelaufnahme als eine Imprägnierung nach der Verklebung (Bild 2 links). Bei Betrachtung der Varianten nach Verklebung zeigte sich, dass bei Verklebung „halb“, im Vergleich zur Verklebung vollflächig „tageslicht“, eine höhere Schutzmittelaufnahme erfolgte (Bild 2 Mitte). Beachtenswert ist, dass selbst bei Imprägnierung nach vollflächiger Verklebung der Einzelteile im Mittel immer noch 88 Prozent (62 – 116 %) der Soll-Holzschutzmittelaufnahme nachgewiesen wurden. Beim Vergleich der beiden Imprägnierungsvarianten Fluten und Kurztauchen konnten keine signifikanten Unterschiede festgestellt werden (Bild 2 rechts).
Dauerhaftigkeit der Fenstereckverbindung
Zur Untersuchung der Dauerhaftigkeit der Fenstereckverbindungen wurden die entsprechenden Stockrahmen halbiert, die freiliegenden Hirnholzflächen versiegelt und so im Freiland angeordnet, dass die 188 gefertigten Fenstereckverbindungen als untere Eckverbindung zu liegen kamen (Bild 3). Kontinuierlich wurden sie visuell begutachtet und bewertet, um im Zuge dieser vergleichenden Untersuchung die Wirksamkeit der unterschiedlichen Holzschutzmaßnahmen (konstruktiv und chemisch) zu ermitteln. Festgehalten wurde einerseits vorhandener Versatz (Bild 4), andererseits wurde auf Dichtheit der Brüstungsfuge beurteilt.
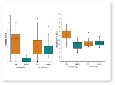
Nach drei Jahren Bewitterung wurden die im Freiland exponierten Fensterecken demontiert, in der Brüstungsfuge die Holzfeuchte gemessen, die Fensterecken anschließend aufgeschnitten und visuell auf vorhandene Feuchte-Eindringung und/oder Schädigungen begutachtet: Zerstörungen durch holzzerstörende Pilze lagen im Bereich der Brüstungsfuge bei keiner Probe vor. Proben die mit einem wirkstofffreien Produkt imprägniert wurden, wiesen in der Brüstungsfuge z. T. Verblauungen auf. Bei Applikation des Holzschutzmittels nach der Verklebung und bei Verklebung vollflächig „tageslicht“ wurde ein deutlich geringerer Versatz ermittelt. Es wurden zudem niedrigere Holzfeuchten, als bei Verklebung „halb“ bzw. bei den Varianten bei denen das Holzschutzmittel vor der Verklebung aufgebracht wurde gemessen (Bild 5).
Zuerst Verklebung, dann der Holzschutz
Bis jetzt gibt es keinen Hinweis, dass die Varianten bei denen die Applikation des Holzschutzmittels nach der Verklebung erfolgte, gegenüber der in der DIN vorgeschlagenen Methode (Applikation des Holzschutzmittels vor der Verklebung), schlechter abschneiden.
Trotz einer vollflächigen Verklebung wurden überraschend hohe Aufnahmen an Holzschutzmittel in der Brüstungsfuge nachgewiesen, im Mittel 88 % (62 – 116 %) der Soll-Holzschutzmittelaufnahme.
Aufgrund der derzeitigen Projektergebnisse empfehlen wir, auch unter Berücksichtigung der DIN 68800-3, eine vollflächige Verklebung und eine daran anschließende Holzschutzmittelbehandlung. —
Die Autorin
Mag. Notburga Pfabigan ist bei der Holzforschung Austria im Bereich chemischer Holzschutz tätig. Sie hat das von der österreichischen Forschungsförderungsgesellschaft mbH (FFG) geförderte Projekt gemeinsam mit Dipl. HTL Ing. Peter Schober, DI (FH) Christina Fürhapper und Dr. Martin Weigl bearbeitet.
 
     
     
     
     
    