An die Verglasung des Straßburger  Bahnhofs waren bei der Ausschreibung zur neuen Fassade so hohe Anforderungen an die Transparenz gestellt, dass diese von warm gebogenen Scheiben nicht erfüllt werden konnten. Die Gersthofener Glasbauspezialisten der seele sedak GmbH entwickelten eine neue Kaltbiegemethode, um die geforderte Transparenz zu gewährleisten. Mit dieser neuen Biegemethode werden perfekt gekrümmte Scheiben möglich, in deren Oberfläche weder Anisotropien, wie z.B. Spektralfarbenringe, noch prozessbedingte lokale Oberflächenverwölbungen auftreten. Der direkte Vergleich der Simulation mit einer Fotografie des Bauwerks (Bild 01), kann einen Eindruck von der erreichten Scheibenqualität vermitteln.
Kaltbiegemethoden
Unter Kaltbiegen versteht man allgemein das Aufpressen von Glasscheiben auf den bereits montierten Fassadenrahmen. Die Scheiben werden so dauerhaft in eine gebogene Form gezwängt. Unter Berücksichtigung der Biegemethode und in Abgrenzung zu der neuen Biegetechnologie der seele sedak bietet sich für diese Biegetechnik der Begriff Montagebiegen an. Das Montagebiegen kam aber für den Straßburger Bahnhof wegen der vorgegebenen Einbausituation und den dabei auftretenden inneren Spannungen im Verbundsicherheitsglas nicht in Frage.
Zur Formgebung musste ein alternatives Kaltbiegeverfahren entwickelt werden. Bei diesem werden die Scheibenstapel mit Ihrer Zwischenschicht über einen monoaxialen Biegerahmen gezwängt und fixiert. Dieses gebogene Paket wird anschließend unter Temperatur und Druck im Autoklav zu einer VSG-Einheit verbunden. Durch das Abkühlen erstarrt die Zwischenlage und friert die Form des Scheibenstapels ein. Diese Technik kann somit als Laminationsbiegen bezeichnet werden (Bild 02 zeigt laminationsgebogene Scheiben vor der Auslieferung).
Diese neue Biegemethode erfordert eine exakte Berechnung des gesamten Biegeprozesses. Sie ermöglicht damit eine werkseitig annähernd toleranzfreie Formgebung der Scheiben.
Ein wesentlicher Vorteil von laminationsgebogenen Glasscheiben ist neben der beeindruckenden optischen Qualität der Gläser, die Vielzahl möglicher Beschichtungen und Bedruckungen.
Viele Beschichtungssysteme werden auf ebene Scheiben aufgebracht und überstehen die hohen Prozesstemperaturen des thermischen Biegens nicht schadensfrei. Das Laminieren dagegen ist für die meisten Beschichtungen ungefährlich, sodass sie jetzt auch auf gebogenen Scheiben zur Verfügung stehen.
Ein weiterer bemerkenswerter Effekt gegenüber thermisch gebogenen Scheiben ist die Tatsache, dass eine Vorspannung der Einzelscheiben durch den Formgebungsprozess nicht beeinträchtigt wird. Damit können im Gegensatz zu warmgebogenen Scheiben die zulässigen Spannungen von vorgespanntem Glas bei einer Bemessung der laminationsgebogenen Scheiben berücksichtigt werden.
Da aus statischer Sicht für den Straßburger Bahnhof die Verwendung von TVG sinnvoll wurde hätte die Verglasung ohne diesen Effekt so nicht realisiert werden können. Generell kann man sagen, dass für alle Kaltbiegeverfahren vorgespannte Glasscheiben zu bevorzugen sind.
Eine gute Methode die Biegefähigkeit verschiedener Glasdicken zu vergleichen, liefert die Vorstellung Scheiben auf Kreise zu zwingen und den erreichten Biegeradien gegenüberzustellen.
Verwendungsgrenzen
Theoretisch sind relativ kleine Biegeradien möglich, die für Architekturglas so jedoch nicht erreicht werden, da bei der Bemessung von Bauteilen aus Glas hohe Sicherheitsbeiwerte zu berücksichtigen sind. Vorgespannte Gläser eignen sich in besonderem Maße zum Laminationsbiegen, da sie an der Glasoberfläche mit Druckvorspannung beaufschlagt sind.
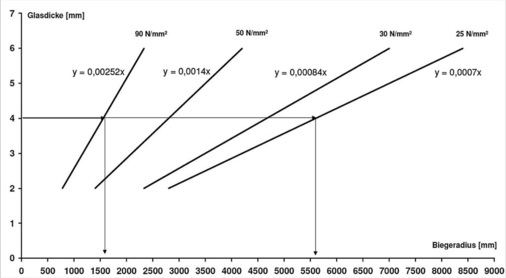
Wird die in der TLRV angegebene zulässige Spannung für ESG zugrunde gelegt, können die in Bild 03 für 50 N/mm 2 dargestellten minimalen Biegeradien erreicht werden, ohne dass Zugspannungen durch das Biegen in der Glasoberfläche entstehen. Zu den Eigenspannungen aus dem Laminationsbiegen addieren sich jedoch Belastungen aus der Einbausituation sowie mögliche montagebedingte Zwängungen. Um eventuell dauerhafte Zugspannungen zu berücksichtigen, sollte die zulässige Spannung überschlägig halbiert werden.
Mit der gezeigten Geradengleichung (Bild 03) für eine zulässige Vorspannung von 25N/mm 2 lassen sich die minimalen Biegeradien für jede Glasdicke ermitteln. Die Glasdicke wird dazu durch die Steigung der Gerade dividiert. Somit kann mit einer 4 mm ESG Scheibe ein Biegeradius von etwa 5600 mm erreicht werden (4/0,0007 = 5600).
Laminationsgebogenes Glas kann seine Vorteile dann zur vollen Geltung bringen wenn es darum geht, große Biegeradien oder leicht geschwungene Flächen mit optimalen Oberflächen aus vorgespanntem Glas zu realisieren. Diese Technologie stellt somit eine sinnvolle Ergänzung zum Warmbiegen dar.
Beispielsweise werden im Möbelbau deutlich geringere Sicherheitsanforderungen an das Glas gestellt als im Bauwesen. Entscheidend für den realisierbaren Biegeradius ist damit die finale Verwendung des Glases. Die folgenden Grenzbetrachtungen gelten diesbezüglich nur für Scheiben ohne weitere Belastungen, wie z.B. solche aus dem Transport oder durch den späteren Montagezustand.
Wenn die Biegespannungen aus dem Laminationsbiegen die tatsächlich eingeprägte Druckvorspannung nicht überschreiten und die Scheibe unbeschädigt ist, besteht keine Gefahr des spontanen Glasbruchs. TVG wird mit mindestens 30 N/mm 2 und ESG mit 90 N/mm 2 Oberflächendruck vorgespannt. Unter Berücksichtigung dieser Werte ergeben sich die ebenfalls in Bild 03 dargestellten minimal möglichen Biegeradien. Unter voller Ausnutzung der Druckvorspannung ist somit für eine 4 mm ESG Scheibe ein minimaler Biegeradius von 1590 mm erreichbar (4/0,00252 = 1590). Spannungen, die aus dem Formgebungsprozess selbst verbleiben, sind bei dieser Betrachtung jedoch nicht berücksichtigt. Außerdem sind zusätzliche Belastungen oder Zwängungen der Scheibe unbedingt zu vermeiden.
Ausblick
Von besonderem Interesse für das Laminationsbiegen sind hoch vorgespannte dünne Gläser mit hervorragender optischer Oberflächenqualität. Derartige Gläser sind bereits am Markt erhältlich. Mit Bild 04 ist die beeindruckende Verformung einer 2 mm Scheibe während eines Vierpunkt-Biegeversuchs abgebildet. Mit diesen Gläsern werden Biegeradien von unter 1000 mm realisierbar. Neuartige Hochleistungsgläser in architekturrelevanten Abmessungen, kombiniert mit innovativen Kaltbiegeverfahren, werden zukünftig auch im Bauwesen beeindruckende Glasscheiben ermöglichen. Wie man in der Tabelle (Bild 03) erkennen kann, sind die Biegeradien beim Kaltbiegen generell nach unten begrenzt. Die seele Gruppe hat es sich durch die stete Weiterentwicklung des Laminationsbiegens zur Aufgabe gemacht, maßgeblich an der Optimierung der Kaltbiegeverfahren mitzuwirken. —
Der Autor
Dr. Hanno Sastré ist als Entwickler bei der seele sedak GmbH, Gersthofen, tätig.
 
     
     
     
    