Springe auf Hauptinhalt Springe auf Hauptmenü Springe auf SiteSearch
Neue Regelungen für verstärkte Abschlüsse

Rollläden können Zugriffsschutz

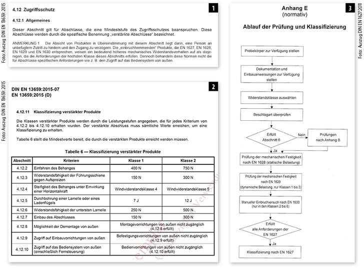
_ Die Neufassung der DIN EN 13659:2015, die bereits im Bereich der Konformitätserklärung in Kraft getreten ist, lässt zukünftig unter Punkt 4.12 „Zugriffsschutz“ eine Klassifizierung verstärkter Produkte zu, die dort verstärkte Abschlüsse heißen, und über 7 Seiten beschrieben und definiert werden. Die Klassen der verstärkten Produkte werden durch die Leistungsstufen angegeben, die fur jedes Kriterium von 4.12.2 bis 4.12.10 erhalten wurden. Der verstärkte Abschluss muss dabei sämtliche Werte erreichen, um eine entsprechende Klassifizierung zu erhalten. Tabelle 6 stellt die Mindestwerte bereit, die durch die verstärkten Produkte erreicht werden mussen.

Leistungsdefinitionen

Die Leistung der verstärkten Abschlusse wird nach folgenden Kriterien bewertet:

  • Einfahren des Behanges
  • Widerstandsfähigkeit der Fuhrungsschiene gegen Aufspreizen
  • Steifigkeit des Behanges unter Einwirkung einer Horizontalkraft
  • Durchbohrung einer Lamelle oder eines Ladenflugels
  • Widerstandsfähigkeit der untersten Lamelle
  • Einbau des Abschlusses
  • Fähigkeit der Demontage von außen
  • Zugriff auf Einbauvorrichtungen von außen
  • Zugriff auf das Bediensystem von außen (einschließlich Fernsteuerung)

Der Hersteller der jeweiligen Produkte muss dabei sicherstellen, dass die angegebene Leistungsstufe fur den gesamten Größenbereich des Produkts gilt. Die jeweilige Prüfung der Produkte erfolgt in Eigenregie, da die DIN EN 13659 für Abschlüsse den Kriterien der Klasse unterliegt, und damit im Gegensatz zu den RC-Klassen nicht von einer notifizierten Prüfstelle getestet werden muss. Beachtet werden muss hier, dass auch die schon bei der CE-Zertifizierung vorgeschriebene Werksproduktionskontrolle diesem Prüfungsverfahren angepasst werden muss.

Mindestanforderungen

Dass Rollläden unabhängig von ihrer Beschaffenheit auch bei der Montage gewisse Mindestanforderungen erfüllen sollten, ist in der Branche leider noch nicht ganz angekommen. Es sollte eigentlich selbstverständlich sein, dass bei vollständig ausgefahrenem (geschlossenen) Behang die Montagevorrichtungen oder Befestigungsmittel wie z. B. Schrauben nicht mithilfe eines Schraubendrehers, eines Schraubenschlussels, eines Akkuschraubers oder ähnlicher Werkzeuge von außen demontierbar sein dürfen.

Das gilt insbesondere für aufgesteckte Kästen bei Vorbauelementen, die sehr oft nicht mit den Schienen oder der Wand verschraubt werden und sich so äußerst leicht und geräuschlos mit dem Rollladenpanzer entfernen lassen.

Auch der Zugriff auf das Bediensystem von außen einschließlich der Fernsteuerungen sollte immer abgesichert werden. Manuell bedienbare Notbedienungseinrichtungen wie die Nothandkurbel bieten hier wie von außen zugängliche Elektrokabel immer wieder einfache Angriffspunkte und Manipulationsmöglichkeiten für den Einbrecher, den Rollladen geräuschlos zu öffnen.

Es gibt genug Beratungspotenzial

Schon heute lässt sich mit den Anforderungen der DIN EN 13659 ein Anspruch auf die Definition „verstärkte Abschlüsse“ ableiten, es wird aber leider von Herstellern und Anbietern aus dem Fachbetriebsbereich nicht genutzt. Gerade weil die Definition aus einer Norm heraus erfolgt, darf man erwarten, dass diese Angaben vom Endverbraucher zuerst einmal als höherwertiger als eine Verbands-Richtlinie angesehen werden. Wenn sich dann noch die Angaben wie z. B. bei der TR 111 des Bundesverbandes Rollladen + Sonnenschutz fast 1:1 decken, wird der Sinn einer zusätzlichen Richtlinie erstmal fraglich. Gerade weil im Bereich Rollladen bei vielen Seminaren missverständlich geschult wird, und zum Teil auch ein Rückgriff auf die seit 2006 ungültige DIN 18073 erfolgt, wird die Situation für die Fachbetriebe und das Verstehen für den Endverbraucher nicht einfacher. Somit machen die Regelungen der Normengeber in der Rollladennorm und der Einbruchnorm DIN EN 1627 ff. durchaus Sinn.—

Olaf Vögele

Jetzt weiterlesen und profitieren.

+ Glaswelt E-Paper-Ausgabe – jeden Monat neu
+ Kostenfreien Zugang zu unserem Online-Archiv
+ Fokus GW: Sonderhefte (PDF)
+ Webinare und Veranstaltungen mit Rabatten
uvm.

Premium Mitgliedschaft

2 Monate kostenlos testen