Springe auf Hauptinhalt Springe auf Hauptmenü Springe auf SiteSearch
Abhängigkeiten des Schallschutzes bei Isoliergläsern

Ruhe im Haus

Für den Bauherren ist maßgebend, wie sich ein eingebautes Bauelement schalltechnisch verhält, und nicht welche Eigenschaften es bezogen auf eine Normgröße, Normtemperatur, Prüfstandwerte usw. aufweist. Deshalb wird in Ausschreibungen das bewertete Bauschalldämmmaß R’ w immer häufiger verlangt. Da die Grundlagen zur schalltechnischen Dimensionierung von Fenstern und Fassaden teils ungenügend sind und immer wieder zu Unzulänglichkeiten am fertigen Gebäude führen, hat die gbd Lab GmbH gemeinsam mit der Kuster+Partner AG eine Versuchsreihe durchgeführt, um den Einfluss der Geometrie und Temperatur auf den Schalldämmwert von Isoliergläsern zu untersuchen.

Derzeit ist es üblich, die schalltechnischen Messgrößen von Isoliergläsern und Fenstern in kalibrierten Prüfständen nach EN ISO 10140-5 mit unterdrückter Flankenübertragung und unter Normbedingungen (Prüföffnung 1250 x 1500 mm und Temperatur 20 ± 3°C) nach EN ISO 10140-2 zu ermitteln.

Als Messresultate erhält man bezogen auf die Normbedingungen das bewertete Schalldämmmaß R w und die Spektrumsanpassungswerte C und C tr .

Grundlage der Messreihen

Wie wirken sich die Abweichungen von geometrischen Parametern und von der Temperatur gegenüber den Normvorgaben aus? Wie beeinflussen das Rahmenmaterial und der Rahmenaufbau (Fixrahmen/Festverglasung und Flügel) die Messergebnisse? Und können mögliche Korrelationen aus den Messergebnissen abgeleitet werden?

Zur Beantwortung wurden bei den Tests Aluminiumrahmen und -flügel (Bautiefen 75 bzw. 87 mm) verwendet, bei denen drei Glasaufbauten mit unterschiedlich bewerteten Schalldämmmaßen R w eingesetzt wurden:

  • 6/16/10 (Rw 40 dB)
  • VSG 4.4+0,76AC/16/10 (Rw 44 dB)
  • VSG 8.8+0,76AC/16/VSG 6.6+0,76AC (Rw 50 dB)

Die Abmessungen der Glasaufbauten wurden von 640 x 640 mm bis 3030 x 3030 mm variiert. Inklusive der Normgrößen wurden so neun verschiedene Geometrien in den folgenden Kombinationen geprüft: Isolierglas, Isolierglas mit Rahmen sowie Isolierglas mit Flügeln

Daraus ergaben sich wiederum 81 Prüfkörper, die bei den Temperaturen von 5 ± 2 °C, 20 ± 2 °C und 40 ± 2 °C getestet wurden. Insgesamt wurden ­ 241 Prüfungen durchgeführt.

Die Prüfkörper wurden im Prüfstand des gbd Lab getestet. Die offenen Flächen neben dem Prüfkörper wurden als zweischalige Wandkonstruktion, entsprechend den Anforderungen der EN ISO 10140-2, ausgeführt. Um Messfehler auszuschließen, wurden die Messungen in beiden Richtungen durchgeführt. Um die Präzision der Messungen zu bestätigen, wurden sowohl systematisch als auch bei Unsicherheiten Kontrollprüfungen durchgeführt. Die Auswertung erfolgte für das bewertete Schalldämmmaß R w und den Spektrumsanpassungswert C tr . Im Gegensatz zu Deutschland, muss der C tr Wert in Österreich und in der Schweiz bereits bei der schalltechnischen Dimensionierung von Außenbauteilen berücksichtigt werden.

Die Resultate

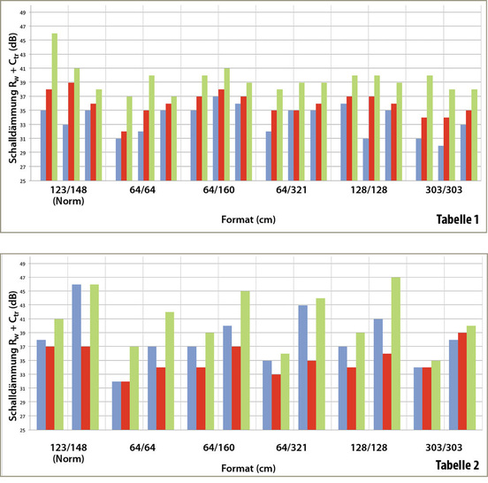
Die abgebildeten Messergebnisse sind stets als Summe von R w +C tr Werten angegeben. Bei den Messungen der Gläser bei Normtemperatur (Tabelle 01) ist klar ersichtlich, wie stark sich der Spektrumsanpassungswert C tr auswirkt. Kleine Gläser (z.B. 64 x 64 cm) zeigen extreme Reduktionen auf. Gläser mit hohen bewerteten Schalldämmmaßen weisen auch hohe Spektrumsanpassungswerte auf, die bei der schalltechnischen Dimensionierung und Ausschreibung unbedingt zu berücksichtigen sind. Die Normgröße (123 x 148 cm) zeigt in allen Bereichen gleiche bis bessere Schalldämmwerte auf als die anderen gemessenen Geometrien. Der Einfluss der Rahmen (Tabelle 01) reduziert die Schalldämmwerte abermals. So wurden z.B. bei Gläsern mit R w = 50 dB noch maximal R w +C tr = 41 dB gemessen.

In Abhängigkeit der Feldgeometrie befinden sich die Werte teils sogar deutlich unter 40 dB. Berücksichtigt man die weitere Verschlechterung im eingebauten Zustand am Bauwerk, so können bestenfalls noch 40 dB erreicht werden. Auch hier zeigt die Normgröße gleich gute bis bessere Schalldämmwerte auf, ausgenommen sind die Gläser mit R w = 40 dB. Die Messungen lassen darauf schließen, dass bis zu Gläsern mit R w

Einen großen Einfluss auf die Schalldämmwerte von Gläsern mit Folie (Tabelle 02) hat die Temperatur. Tendenziell sind bei hohen Temperaturen die Schalldämmwerte gleich bis besser als bei den Normtemperaturen. Bei tiefen Temperaturen sind die Werte deutlich schlechter. Auch hier lässt sich aus den Messreihen ablesen, dass die Normgröße gut bis bessere Werte liefert als andere Geometrien.

Die Einschätzung der Autoren

Bei den Versuchsreihen wurden die gesteckten Ziele nur teilweise erreicht. Eine klare Korrelation zwischen den verschiedenen Geometrien lässt sich (noch) nicht herleiten. Bei hohen Schallschutzanforderungen (R w > 40 dB) ist zu beachten, dass ein starker Abfall der Schalldämmwerte des Gesamtelementes durch den Rahmenanteil erfolgt. In der Regel sind weitere Abschläge infolge der geometrischen Abweichungen zu den Normabmessungen zu berücksichtigen. Es zeigt sich, dass normalerweise mit der Normgröße das höchste bewertete Schalldämmmaß erreicht wird.

Der Verlauf der Werte bei unterschiedlichen Temperaturen war über­raschend. Offensichtlich wird bei tieferen Temperaturen die eingebaute Akustik­folie steifer und beeinflusst dadurch das Schwingungsverhalten des ­Glases, ­wodurch sich das bewertete Schalldämmmaß verminderte. Um­gekehrt wird bei hohen Temperaturen das schalltechnische Verhalten ­verbessert und die Schalldämmwerte steigen an. Man könnte das auf die größere Elastizität der Akustikfolie zurückführen. Geht man davon aus, dass Fenster und Fassaden großen Temperaturschwankungen ausgesetzt sind, ist diese Erkenntnis zentral. Zukünftige Messreihen mit unterschiedlichen Glas­geometrien sollen verfeinert und weitere Zwischengrößen im Prüfstand ­getestet werden. Ferner sind die Einflüsse der Rahmen genauer zu untersuchen. Ziel weiterer Messreihen ist es, mit den Ergebnissen genauere Dimensionierungen vor­nehmen zu können und so ­einen optimalen Materialeinsatz zu ­erreichen.

Bei punktgenauer Auslegung des erforderlichen Schallschutzes lassen sich derzeit exakte Werte nur durch Labormessungen ermitteln. —

Die Autoren

Der Bauingenieur und Sachverständige Heinz Pfefferkorn ist geschäftsführender Gesellschafter der gbd-Gruppe, einer Prüf- und Zertifizierungsstelle in Dornbirn, Österreich.

http://www.gbd.at

Der Akustik-Ingenieur Josef Kuster arbeitet für die Kuster+Partner AG, in Chur und Dornbirn.

https://kusterpartner.ch/

Jetzt weiterlesen und profitieren.

+ Glaswelt E-Paper-Ausgabe – jeden Monat neu
+ Kostenfreien Zugang zu unserem Online-Archiv
+ Fokus GW: Sonderhefte (PDF)
+ Webinare und Veranstaltungen mit Rabatten
uvm.

Premium Mitgliedschaft

2 Monate kostenlos testen