Springe auf Hauptinhalt Springe auf Hauptmenü Springe auf SiteSearch
Berechnung von Isoliergläsern — Teil 1: Grundlagen, ebene Gläser

Damit die Scheibe auch hält

Eine wirklich allgemeingültige und physikalisch korrekte Lösung zur Berechung von MIG ist nur numerisch anhand eines Finite-Elemente-Modells (FE) möglich, wie nachfolgend beschrieben.

Mithilfe eines FE-Modells lassen sich ebene und gekrümmte Mehrscheiben-Isoliergläser mit beliebiger Geometrie und beliebigen Lagerungsbedingungen berechnen. Die korrekte Behandlung sämtlicher Lastarten – auch konzentrierter Lasten – ist damit genauso möglich, wie die Berücksichtigung des (Teil-)Verbunds durch die Klebefolien (PVB, EVA, SGP etc). Nicht zuletzt kann damit auf die Linearisierung des Tragverhaltens der Einzelscheiben verzichtet werden, was bei ebenen Gläsern zu erheblich günstigeren Ergebnissen führen kann.

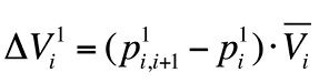
Zur Erläuterung des Tragverhaltens betrachten wir ein 2-fach-Isolierglas, das außenseitig von einer Drucklast beansprucht wird: Unter der Drucklast biegt sich das äußere Glas durch, wodurch das Volumen des Scheibenzwischenraums (SZR) verkleinert und der Innendruck erhöht werden.

Bild 1: 2-fach-Isolierglas ­unter äußerer Belastung p
Bild 1: 2-fach-Isolierglas ­unter äußerer Belastung p

Diese Druckerhöhung im SZR stützt die Außenscheibe und belastet die Innenscheibe. In Summe wirkt auf die Außenscheibe daher die Last p - Δp, auf die Innenscheibe Δp. Die Gesamtlast teilt sich also auf beide Scheiben auf. Der Grad dieser Aufteilung hängt ab von:

  • der Steifigkeit der Scheiben,
  • dem Volumen des Luftpolsters im SZR.

Die Berechnung dieser Lastaufteilung erfolgt unter Berücksichtigung des allgemeinen Gasgesetzes (s.u.). Zu beachten ist bei VSG-Gläsern, dass deren Steifigkeit nicht nur von der Geometrie, sondern auch vom Verbund zwischen den Scheiben abhängt.

Klimalast

Neben den äußeren Belastungen aus Wind, Schnee, Holmlast usw. sind bei Isoliergläsern die Auswirkungen der Temperatur- und Druckunterschiede zwischen dem Ort der Herstellung und dem Ort des Einbaus zu berücksichtigen.

Bild 2: 2-fach-­Isolierglas links im Werk (­Zustand 0) und rechts am Ort des Einbaus (Zustand 1)
Bild 2: 2-fach-­Isolierglas links im Werk (­Zustand 0) und rechts am Ort des Einbaus (Zustand 1)

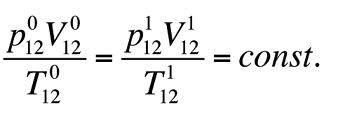
Im Scheibenzwischenraum wurde im Isolierglas-Werk ein Gasvolumen bei einem Druck p 0 12 = p 0 1 = p 0 2 und einer Temperatur T 12 0 = T 1 0 = T 2 0 eingeschlossen (Zustand 0). Ändert sich die Temperatur und/oder der umgebende Luftdruck (Zustand 1), so muss sich das Volumen des eingeschlossenen Gases im Scheibenzwischenraum ändern, was zu einer Druck- oder Sogbeanspruchung der Gläser führt. Die anzusetzenden Temperaturdifferenzen für Sommer- bzw. Winter sind den Regelwerken [1][2] zu entnehmen, ebenso die meteorologischen Druckdifferenzen und die Höhendifferenz zwischen dem Ort der Herstellung und dem Einbauort, falls diese nicht genau bekannt sind.

Für äußere Belastungen wie auch für Klimalasten gilt die allgemeine Gasgleichung:


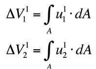
Das Volumen V 12 1 des SZR im Zustand 1 ist hierbei V 12 1 = V 12 0 + ΔV 1 1 + ΔV 2 1

Die Volumenänderungen ΔV 1 1 bzw. ΔV 2 1 ergeben sich aus dem Integral über die Scheibenfläche.

Es gilt also:


wobei u 1 1 und u 2 1 die Durchbiegungen der Scheiben 1 und 2 im Zustand 1 bedeuten. ΔV 1 1 und ΔV 2 1 können im Rahmen einer FE-Berechnung direkt ermittelt werden.

Die linearisierte Lösung

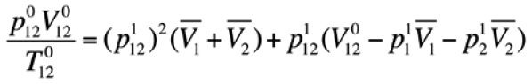
Unter gewissen Bedingungen lassen sich die Werte ΔV 1 1 bzw. ΔV 2 1 durch folgende Linearisierung annähern:


stellt die Volumenänderung der Scheibe i unter einer Einheitslast von 1.0 kN/m 2 dar.

Diese Linearisierung ist zwar für beliebige Formen, aber nur für allseitige Lagerung der Isoliergläser zulässig, da in diesem Fall jede Scheibe als unabhängig gelagert angesetzt werden kann.

Für 2-fach-Isoliergläser ergibt sich damit der unbekannte Druck p 1 12 im SZR aus folgender quadratischen Gleichung:


Analog erhält man für 3-fach-Isoliergläser ein System zweier quadratischer Gleichungen mit den unbekannten Drücken p 1 12 und p 1 23 in den beiden Scheibenzwischenräumen.

Das numerische Modell

Eine allgemeinere und genauere, für alle Lagerungs- und Lastfälle anwendbare Berechnung ist nur mithilfe eines iterativen Verfahrens zu realisieren. Eine direkte Lösung ist aufgrund der physikalischen Nichtlinearität der Gasgleichung nicht möglich. Hinzu kommt die geometrische Nichtlinearität des Tragverhaltens der Scheiben, die im Rahmen des unten beschriebenen Newton-Raphson-Verfahrens gleich mitberücksichtigt werden kann. Oft liegt die Durchbiegung der Gläser in derselben Größenordnung wie die Glasdicke bzw. bei 1/100 der Scheibenabmessungen. Bei Verformungen dieser Größe macht sich insbesondere bei ebenen Scheiben ein günstig wirkender Membraneffekt bemerkbar.

Die Lastabtragung erfolgt also nicht mehr nur über Plattenbiegung, sondern auch über Membranwirkung. Entlang der Scheibenränder bildet sich ein Druckring aus, an den sich das Innere der Scheibe wie eine Membran hängt. Als Konsequenz hiervon ergeben sich merklich kleinere Verformungen und Spannungen, als bei einer rein linearen Berechnung unter Vernachlässigung des Membraneffekts. Dies lässt sich gut anhand einer quadratischen, allseitig liniengelagerten Scheibe mit LxB = 1500 x 1500 mm mit t=8 mm unter einer Flächenlast von 5.0 kN/m 2 demonstrieren.

Für die Modellbildung werden sogenannte Solid-Shell-Elemente verwendet. VSG-Gläser können so als Volumina (Glas-Zwischenschicht-Glas) aufgebaut werden. Je nachdem, ob es sich um kurz- oder langzeitig wirkende Lasten handelt, können die Zwischenschichten als anisotrope Materialien mit oder ohne Schubverbund berücksichtigt werden. Wirken sowohl kurz- als auch langzeitige Lasten auf das System, so werden zuerst die langzeitig wirkenden Lasten (z.B. die Klimalast) aufgebracht und berechnet. Der hieraus erhaltene Spannungs- und Verformungszustand wird dann sozusagen „eingefroren“.

Nun werden die Materialeigenschaften der Zwischenschicht entsprechend angepasst, also z.B. auf vollen oder teilweisen Verbund abgeändert, und die kurzzeitig wirkenden Lasten (Holmlast, Wind) auf das deformierte System aufgebracht und berechnet.

Der Randverbund wird mit kleinen Stabelementen (sogenannten Links) simuliert, welche die Scheibenränder miteinander auf Druck und Zug koppeln. Die durch die Verklebung entstehende Biege- und Schubsteifigkeit des Randverbunds wird in unserem Modell vernachlässigt.

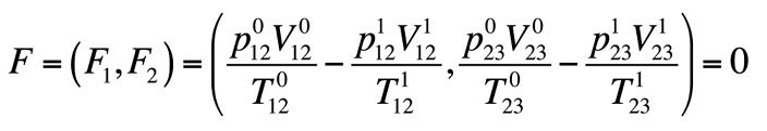
Nachfolgend wird die Lösung mittels Newton-Raphson-Verfahren für ein 3-fach-Isolierglas mit den beiden unbekannten Drücken p 1 12 und p 1 23 gezeigt. Sie lässt sich für 4- und Mehrscheibengläser nach Bedarf bequem erweitern.

Allgemein gilt für eine Funktion F(x) mit x = x 1 , x 2 ,…, x n ( ) nach Newton-Raphson:

F(x +δx) = F(x)+ J δ x +O(δ x2 )

In unserem Fall ist der Vektor der unbekannten Drücke x = (x1, x2 ) = (p 1 12 , p 1 23 ) und die Funktion:


Terme zweiter und höher Ordnung O(δ x 2 ) werden vernachlässigt.

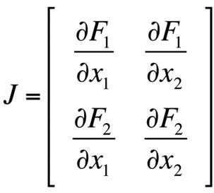
Wesentlich ist nun die Bestimmung der sogenannten Jacobi-Matrix J, welche die Steigung der Funktion F enthält:


Nachdem die partiellen Ableitungen nicht explizit zur Verfügung stehen, wird zur Berechnung der Jacobi-Matrix zunächst der Druck im SZR 1 geringfügig variiert, wobei die Variation x 1 = p 12 typischerweise 0,0001 kN/m 2 entspricht. Dann wird die Änderung der Funktionswerte F 1 und F 2 berechnet und durch die Variation x 1 dividiert. Analoges gilt für x 2 = p 23 im zweiten Schritt.

Für den nächsten Iterationsschritt wird der Vektor x folgendermaßen angepasst: x i+1 = x i +δ x

Die Änderung der Drücke in den SZR ist dann δx = F J 1

Die Jacobi-Matrix ist also zu invertieren, was unter Umständen zu numerischen Problemen führen kann, die einer gesonderten Behandlung bedürfen.

Die Iteration wird abgebrochen, sobald alle Werte im Vektor δx unterhalb einer Genauigkeitsschranke ε gefallen sind, die wir in der Regel mit 0,001 kN/m 2 ansetzen. Meist sind hierfür nur vier bis fünf Iterationsschritte erforderlich. Es hat sich gezeigt, dass das Verfahren im allgemeinen schneller konvergiert, wenn man nicht den vollen Newton-Schritt macht, sondern den Vektor der Druckänderungen mit einem Relaxationsfaktor λ multipliziert, der zwischen 0,25 bei ebenen Scheiben und 0,5 bei gekrümmten Scheiben liegt.

Als Anfangsdrücke verwenden wir bei ebenen Gläsern einfach den sogenannten isochoren Druck in den SZR. Für gekrümmte Scheiben ist dies nicht ratsam (siehe zweiter Teil dieses Artikels).

Im zweiten Artikelteil geht der Autor auf die Berechnung von gebogenen Gläsern ein und zeigt anhand von Diagrammen das Potential der nichtlinearen Berechnung auf. —

http://www.gbd.at

Jetzt weiterlesen und profitieren.

+ Glaswelt E-Paper-Ausgabe – jeden Monat neu
+ Kostenfreien Zugang zu unserem Online-Archiv
+ Fokus GW: Sonderhefte (PDF)
+ Webinare und Veranstaltungen mit Rabatten
uvm.

Premium Mitgliedschaft

2 Monate kostenlos testen

Tags