Springe auf Hauptinhalt Springe auf Hauptmenü Springe auf SiteSearch
eckkonstruktionen mit 3-fach-ISO

Sicher über Eck

Grundlegende Anforderungen an Ganzglasecken sind zunächst die Gebrauchstauglichkeit, die Standsicherheit und die Dauerhaftigkeit der Konstruktion bzw. der Verbindung. Damit solch ein Verglasungssystem dauerhaft funktioniert, müssen nicht nur bei gläsernen Eckkonstruktionen die folgenden Einflüsse vermieden werden:

  • andauernde Feuchtigkeit auf den Randverbund,
  • UV-Strahlung,
  • unzulässige mechanische Spannungen,
  • unverträgliche Materialien.

Die Randbedingungen an die Glasfalzausbildung von Ganzglasecken sind die gleichen wie bei gerahmten Konstruktionen. Die wesentlichen Anforderungen sind durch Regelwerke wie DIN 18545 – Glasabdichtung, Falzausbildung, TRL, TRAV (künftig als DIN 18008) – nicht nur beschrieben, sondern auch verbindlich.

Das Verglasungssystem muss zur Aufnahme der planbaren Lasten geeignet sein. Die wesentlichen Lasten sind dabei Klimalasten aus dem Scheibenzwischenraum, dem Eigengewicht, aus Winddruck- und Windsoglasten. Hierbei werden hohe Anforderungen an die Glasabdichtung gestellt.

Zudem hat die freie Glaskante bei einer Ganzglaseckenkonstruktion einen entscheidenden Einfluss auf die Bemessung. Weiter ist zu beachten, dass die Verbindungsfuge einer solchen Eckkonstruktion grundsätzlich eine Abdichtungsfuge ist und nicht als statisch tragende Verklebung zu sehen ist. Dies hat einen wesentlichen Einfluss auf die Bemessung der Ganzglasecke. Die Scheiben sind als dreiseitig gelagert zu betrachten, was in der Regel zu sehr hohen – zum Teil nicht mehr realisierbaren – Glasdicken führt.

Die Glasdicken lassen sich zwar mit einer statisch tragenden Verklebung reduzieren, erfordern dann allerdings wiederum eine Zustimmung im Einzelfall (ZiE) oder Zulassung nach ETAG 002.

Auch an die eingesetzten Dicht- und Klebstoffe werden hohe Anforderungen gestellt, insbesondere hinsichtlich der Aufnahme von Winddruck und -soglasten sowie von Scherkräften. Bei Ausführung einer derartigen Glasabdichtung ist die Verträglichkeit der eingesetzten Materialien von entscheidender Bedeutung (siehe dazu ift-Richtlinien DI-01/1 und DI-02/01).

Wärmetechnische Anforderungen

Ganzglasecken bilden eine geometrische Wärmebrücke, da in einer Ecke oder Kante eine kleine Innenfläche einen Wärmestrom an eine viel größere Außenfläche abgibt. Durch diesen divergierenden Wärmestrom kommt es in der Ecke zu deutlich geringeren Oberflächentemperaturen. Grundsätzlich ist eine Isolierglasecke bzw. Isolierglasstoßfuge eine wärmetechnische Schwachstelle. Die Gefahr der Tauwasserbildung ist dort besonders hoch. Wärmetechnisch verbesserte Isolierglasabstandhalter nach EN 10077 (Anhang E) sind bei solchen Konstruktionen über Eck zu bevorzugen.

Die komplexen bauphysikalischen Eigenschaften von Ganzglasecken machen es darüber hinaus erforderlich, die vielfältigen Ausführungsmöglichkeiten wärmetechnisch und bauphysikalisch detailliert zu betrachten.

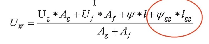
So ist die aus der DIN EN 10077 bekannte Formel für die U w -Wert-Berechnung von gerahmten Fenstern zur U w -Wert-Berechnung von Ganzglasecken und -stößen nicht ausreichend.

Der Uw-Wert nach DIN EN 10077 reicht zur Berechnung einer Ganzglasecke nicht aus.
Der Uw-Wert nach DIN EN 10077 reicht zur Berechnung einer Ganzglasecke nicht aus.

Hier werden die U g -Werte des Glases mit der Glasfläche, die U f -Werte des Rahmens mit der Rahmenfläche und dem längenbezogenen Wärmedurchgangskoeffizienten Ψ g mit der Gesamtfläche der Fensters ins Verhältnis gesetzt.

Bei den meisten Fensterkonstruktionen ist die Glas-Rahmen-Ausbildung bei allen Glaskanten gleich. Bei einer Ganzglasecke bzw. einem Ganzglasstoß ist dies nicht der Fall. Hier sind ja nur drei Glaskanten gerahmt. Dies macht eine zusätzliche rechentechnische Betrachtung notwendig. Der U w -Wert einer solchen Konstruktion lässt sich in Anlehnung an die DIN EN 10077 wie folgt berechnen:

Uw-Wert-Ermittlung einer Ganzglasecke in Anlehnung an die DIN EN 10077.
Uw-Wert-Ermittlung einer Ganzglasecke in Anlehnung an die DIN EN 10077.

Die Einführung eines zusätzlichen längenbezogen Wärmedurchgangskoeffizienten für die Glas-Glas-Anbindung Ψ gg * lgg ist hier erforderlich.

Betrachtung von Ψ gg -Werten

Bei Ganzglasecken und -stößen entfällt eine Dämmung durch Profile. Besonders deutlich wird dies, wenn man die längenbezogenen Wärmedurchgangskoeffizienten verschiedener Systeme betrachtet. Die Ψ gg -Werte („Psi – gg“ oder „Psi – ganz – glas“) von Ganzglasecken liegen bei 0,21 bis 0,25 W/(mK), bei Glasstößen von 0,20 bis 0,30 W/(mK). Das ist etwa eine Zehnerpotenz höher als bei allseitig gerahmten Konstruktionen und hat massive Auswirkungen auf den U-Wert der Verglasung als auch auf den U cw -Wert von Vorhangfassaden.

Bei der Ausführung einer Ganzglasecke als einseitiges Stufenglas mit asymmetrischer Ansicht (Bild 01) birgt die sehr niedrige Oberflächentemperatur in der Ecke ein hohes Tauwasserrisiko; der Ψ gg beträgt 0,15 W/(mK). Wird ein Verbindungsblech eingesetzt, wirkt dieses als „Wärmefühler“ und erhöht die Oberflächentemperatur in der Ecke. Die Wärmeleitung in der Ecke wird allerdings verbessert, so dass sich der Ψ gg -Wert stark erhöht auf 0,30 W/(mK). Bei der Konstruktion einer Ganzglasecke mit Dichtprofil und Verbindungsblech (Bild 02), besteht ein höheres Risiko zur Kondensatbildung, Ψ gg = 0,22 W/(mK), da die Ansichtsbreite der Ecke (> 40 mm) sehr hoch ist. Bei dieser Verbindung müssen die Klebe­fugen zwischen Blech und Glas bzgl. Last und thermischer Dehnung (z.B. gemäß ETAG002> 6 mm x 6 mm) bemessen werden. Die Kreuzungspunkte sind zudem sehr sauber auszuführen.

Generell können hohe thermische Belastungen an der Eckausbildung die Verwendung von ESG erforderlich machen. Geschliffene Glaskanten sind für eine saubere Montage empfehlenswert. Für ein gleichmäßiges Erscheinungsbild ist eine Bearbeitung der hervorstehenden Kanten von Stufenisoliergläsern zu empfehlen (feingeschliffen oder poliert). Im Allgemeinen muss der Randverbund der verwendeten Isoliergläser vor UV-Strahlung geschützt werden. Dies wird durch einen Siebdruckstreifen auf Position 2 des Isolierglases erreicht. Bei VSG-Konstruktionen wird das oft mit einer Silikonbeschichtung ausgeführt.

Bei Einsatz von VSG ist besonders die thermische Belastungssituation zu überprüfen, um die Dauerhaftigkeit des Laminats sicherzustellen. Fertigungstechnische Merkmale können am Randverbund sichtbar werden. —

Tipp der Redaktion: Mehr zum ­Thema finden Sie auf der GLASWELT-Themenplattform http://www.3-fach-iso.de .

Der Autor

Ralf Vornholt, Marketing Technik der Saint-Gobain Glass Deutschland GmbH.

Jetzt weiterlesen und profitieren.

+ Glaswelt E-Paper-Ausgabe – jeden Monat neu
+ Kostenfreien Zugang zu unserem Online-Archiv
+ Fokus GW: Sonderhefte (PDF)
+ Webinare und Veranstaltungen mit Rabatten
uvm.

Premium Mitgliedschaft

2 Monate kostenlos testen