Springe auf Hauptinhalt Springe auf Hauptmenü Springe auf SiteSearch
Fachgerechte Montage von Glasvordächern (Teil 2)

So geht die Rechnung auf

Wie im ersten Teil des Beitrages vorgestellt, bereitet die Montage von Vordächern an Mauerwerkswänden oft Probleme. Dies ­ ist zum einen begründet durch die geringe Tragfähigkeit von Dübeln im Mauer­werk, die dann sehr große Wandanschlussplatten notwendig machen. Zum anderen führen die Montagetoleranzen beim Setzen der Dübel oft dazu, dass die Platten nicht richtig montiert werden können ().

Abhilfe schafft hier eine neu entwickelte Zwischenplatte, die als Zubehör für Vordächer entwickelt wurde. Diese wird erstmals offiziell auf der ­ glasstec 2008 von Pauli + Sohn sowie auf der anschließend in München stattfindenden Konferenz ISAAG präsentiert. Diese Platte ermöglicht die sichere Montage von Vordächern bei Wänden mit Vollwärmeschutz und sorgt gleichzeitig für eine thermische Trennung ).Das folgende Beispiel zeigt, wie ein Glasvordach bemessen werden kann.Aufgabenstellung

Ein Vordach mit Zugstangen soll an einem Haus mit Mauerwerkswänden montiert werden. Zur Lastermittlung nach DIN 1055 ist hier neben dem Einbauort auch die Gebäudegeometrie von Belang. Das Vordach soll an ­ 4 Punkten gehalten werden und soll Abmessungen von A/B = 1750 mm x 1900 mm haben.

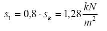
Lastannahmen: Bei einem Einbauort in Schneelastzone 2 auf 500 müNN ergibt sich ein charakteristischer Wert der Schneelast auf dem Boden von:


Der charakteristische Wert der Schneelast auf dem Dach ergibt sich zu:

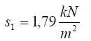
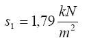
Zusätzlich sind in Abhängigkeit von der Gebäudegeometrie Schneeanhäufungen durch Anwehen oder Abrutschen zu berücksichtigen. Hierdurch können sich erheblich größere Lastwerte ergeben. Zusätzlich sind Lasten aus Winddruck und Windsog zu ermitteln. Für das vorliegende Beispiel ergibt sich für die gesamte Schneelast:


Für die Winddrucklast ergibt sich:


Der Bemessungswert der veränderlichen Einwirkung ergibt sich zu:


Bemessung: Man muss unterscheiden zwischen Vordächern mit oder ohne Allgemeiner bauaufsichtlicher Zulassung. Ist keine Allgemeine bauaufsichtliche Zulassung vorhanden, ist eine aufwendige Berechnung mittels ­ Finite-Element Methode sowie eine Zustimmung im Einzelfall erforderlich. Zu verwenden sind die charakteristischen Werte der Einwirkungen (inkl. ständiger Lasten = Eigengewicht!) zum Nachweis nach zul-sigma-Konzept entsprechend TRPV oder TRLV.

Ein Nachweis nach aktuellem bauaufsichtlich eingeführten Konzept der Teilsicherheitsbeiwerte ist sehr einfach möglich mit der Allgemeinen bauaufsichtlichen Zulassung Z-70.3-85 oder Z-70.3-74 und den darin enthaltenen Diagrammen (siehe unten). Für unser Beispiel ergibt sich ein Glasaufbau von 2 x 10 mm TVG.


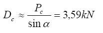
Wandanschluss: Bei der Verankerung an der Wand ist die jeweilige Allgemeine bauaufsichtliche Zulassung des Dübelherstellers zu beachten. Auch hier ist wichtig, ob der Lastwert in der Zulassung der charakteristische Wert oder der Bemessungswert ist. Die Last je Punkthalter ergibt sich für das Beispiel zu:


Umgerechnet auf die diagonale Zugstange ergibt sich für einen Winkel der Zugstange von 35° eine Last in der Zugstange von


Unberücksichtigt bleiben hier (zur einfacheren Darstellung) noch zusätzliche Effekte z.B. aus Exzentrizitäten (auch durch Wärmedämmung!). Dadurch können sich die Lasten noch erheblich vergrößern. Bei einer Dübeltragfähigkeit im Mauerwerk (je nach Zulassung und Mauerwerksgüte) zwischen 0,3 kN und 1,7 kN je Dübel ergeben sich so zwischen 3 und 12 Dübel je Wandanschlussplatte für den oberen Anschluss des Vordaches. Wichtig ist hier die genaue Prüfung des vorhandenen Mauerwerks.

Ausblick

Eine fachgerechte Montage von Glasdächern ist, bei Kenntnistand einiger Regeln sowie Verwenden von Produkten mit Allgemeiner bauaufsichtlicher Zulassung, einfach möglich. Neu entwickelte Wandanschlussplatten erleichtern die fachgerechte Montage. Die Bemessung sollte von einem Ingenieur erfolgen. Das vollständige ausführliche Berechnungsbeispiel kann bei den Autoren angefordert werden.—

ISAAG-Tagung in München

Am 27. und 28. Oktober findet die dritte ISAAG -Tagung in München an der Uni­versität der Bundeswehr statt. Rund 30 Vorträge decken hierbei nahezu alle Bereiche des konstruktiven Glasbaus ab. Wie der hier in Auszügen vorveröffentlichte Beitrag zeigt, ist auch diesmal wieder ein interessantes Programm zu erwarten.

Das Programm der Tagung findet man unter https://www.glaswelt.de/ unter Webcode Nr. 671 (Nummer in das Suchfeld rechts oben eintragen).

Weitere Informationen unter http://www.isaag.com.

Die Autoren

Dr.-Ing. Barbara Siebert,

Ingenieurbüro Dr. Siebert, München

Tel. (0 89) 92 40 14-10, bsi@ing-siebert.de

Ulf Bertrams,

Projektleiter, Pauli+Sohn GmbH, Waldbröl

Tel. (0 22 91) 92 06 -0, pauli@pauli.de

Jetzt weiterlesen und profitieren.

+ Glaswelt E-Paper-Ausgabe – jeden Monat neu
+ Kostenfreien Zugang zu unserem Online-Archiv
+ Fokus GW: Sonderhefte (PDF)
+ Webinare und Veranstaltungen mit Rabatten
uvm.

Premium Mitgliedschaft

2 Monate kostenlos testen

Tags