Springe auf Hauptinhalt Springe auf Hauptmenü Springe auf SiteSearch
DIN 18008 Konsequenzen für die Glasbemessung

Was ändert sich?

Die Teile 1 und 2 der DIN 18008 – Glas im Bauwesen – Bemessungs- und Konstruktionsregeln sind bereits im Dezember 2010 erschienen. Die neue DIN wurde aber aktuell noch nicht in die Muster-Liste der Technischen Baubestimmungen (MLTB) aufgenommen, dementsprechend ist sie noch nicht von den einzelnen Ländern in die entsprechenden Länderlisten übernommen und eingeführt. Sofern nicht einzelne Länder selbstständig – unabhängig von der MLTB – länderspezifisch die DIN 18008 einführen ist diese auch nicht anzuwenden.

Dennoch spricht nach Auffassung des Verfassers nichts gegen eine Anwendung im Einzelfall. Denn durch die Veröffentlichung im Weißdruck können die Teile 1 und 2 von DIN 18008 als „anerkannte Regeln der Technik“ (zumindest jedoch als „Stand der Technik“) angesehen werden. Allerdings darf diese Anwendung nicht einfach so erfolgen, sondern nur bauordnungsrechtlich einwandfrei, d.h. etwa im Rahmen einer ZiE.

Regelungsumfang der neuen DIN

Die DIN 18008 ist in mehrere Teile untergliedert:

  • Teil 1: Begriffe und allgemeine Grundlagen
  • Teil 2: Linienförmig gelagerte Verglasungen
  • Teil 3: Punktförmig gelagerte Verglasungen
  • Teil 4: Zusatzanforderungen an absturzsichernde Verglasungen
  • Teil 5: Zusatzanforderungen an begehbare Verglasungen
  • Teil 6: Zusatzanforderungen an zu Instandhaltungsmaßnahmen betretbare Verglasungen
  • Teil 7: Sonderkonstruktionen

Die Teile 1 und 2 sind als Endfassung im Dezember 2010 erschienen, Teile 3, 4 und 5 werden demnächst als Entwurfsfassung veröffentlicht.

Unterscheide von TRXV und DIN 18008

Neben dem zugrunde liegenden Sicherheitskonzept unterscheiden sich auch der Regelungsumfang der TRXV (der Begriff TRXV fasst die Regelwerke TRLV, TRAV und TRPV zusammen) und der DIN 18008, wie die Tabelle im schematischen Vergleich zeigt (siehe Seite 22, links oben). Unmittelbar sichtbar ist ein größerer formal abgedeckter Anwendungsbereich der DIN 18008 gegenüber TRXV.

Aktuell ist es noch so, dass die TRLV gegenüber Teilen 1 und 2 einen größeren Regelungsumfang hat; d.h. die Teile 1 und 2 können kein vollständiger Ersatz für die TRLV sein. Darin ist auch die Zurückhaltung bei der baurechtlichen Einführung nur der Teile 1 und 2 begründet. In Zukunft können die Teile 1 bis 6 jedoch TRLV, TRAV, TRPV durchaus ersetzen: Die künftigen Regelungen in der DIN 18008 werden auch inhaltlich gegenüber der TRXV mehr zulassen. Dies kann nach Veröffentlichung der Entwurfsfassungen der folgenden Teile dargelegt werden.

Größere Tragfähigkeit für ESG/TVG Floatglas bleibt gleich

In den TRLV finden sich Werte für die zulässigen Spannungen unterschiedlicher Glasarten und Einbausituationen. Als Bemessungsnorm verweist die DIN 18008 hinsichtlich der Festigkeiten auf die entsprechenden Produktnormen bzw. definiert allgemein was unter Festigkeiten zu verstehen ist. Dadurch ergibt sich in der DIN 18008 eine kürzere Darstellung in Form von lediglich zwei Gleichungen zur Berechnung der entsprechenden Beanspruchbarkeiten. Darauf basierend lässt sich jedoch ohne großen Aufwand eine vergleichbare Tabelle mit Grenztragfähigkeiten angeben.

Durch Vergleichsrechnungen ist festzustellen, dass – bedingt durch die Ermittlung der Beanspruchbarkeit auf Basis der Bruchmechanik – thermisch vorgespannte Gläser (TVG, ESG) nach der DIN 18008 höher beansprucht werden können oder bei gleicher Beanspruchung mit geringerer Dicke ausgeführt werden können.

Bei liniengelagerter Verglasung aus Floatglas ist die Ausnutzung im Mittel vergleichbar TRLV; je nach Lagerung/Tragverhalten (2- oder 4-seitig), Verglasung (mono oder VSG) sowie Einbausituation (vertikal oder horizontal) ergeben sich geringfügige Abweichungen.

Für Überkopfverglasungen (in der DIN 18008 neue Bezeichnung: Horizontalverglasungen) ergeben sich für den Lastfall Eigengewicht und Schnee kleinere, für Eigengewicht und Wind größere Tragfähigkeiten als formal nach der TRLV.

Für Mehrscheiben-Isolierverglasungen findet sich auch in DIN 18008-2 nach wie vor unter den identischen Randbedingungen (u.a. Fläche bis 1,6 m 2 ) die Freistellung von einer Bemessung, um weiterhin die andernfalls kaum nachweisbaren, jedoch bewährten Formate ausführen zu können. In jedem Fall sind jedoch bei mehreren Einwirkungen mit unterschiedlicher Einwirkungsdauer (z.B. Eigengewicht als ständig, Schnee als mittel und Wind als kurz) jeweils mehrere Lastfallkombinationen zu überprüfen. Dies kann einen größeren Aufwand gegenüber den TRLV bedeuten. Ein genauerer Vergleich muss auf Basis von Praxisbeispielen erfolgen und sprengt den Rahmen dieses Beitrags. Dabei handelt es sich jedoch um keine komplizierte Berechnung.

Bemessung und Sicherheitskonzepte

Für Glasbauteile und -konstruktionen sowie für alle tragenden Bauteile sind für eine Bemessung die Tragfähigkeit und die Gebrauchstauglichkeit nachzuweisen. Diese Nachweise erfolgen i.d.R. unter Verwendung von Spannungen (Tragsicherheit) bzw. mittels Vergleich von Verformungen (Gebrauchstauglichkeit). Üblicherweise wird auf Basis von Lastannahmen die Beanspruchung berechnet, die Beanspruchbarkeit bestimmt und schließlich der Nachweis durch Vergleich von Beanspruchung und Beanspruchbarkeit geführt.

Um Unsicherheiten (Streuungen) beispielsweise von Lasten oder Materialeigenschaften zu berücksichtigen, werden die Nachweise unter Verwendung entsprechender Sicherheitsbeiwerte geführt. Früher üblich war das Konzept mit einem einzigen sogenannten globalen Sicherheitsfaktor, aktueller ist das sogenannte Konzept der Teilsicherheitsbeiwerte. In der Schreibweise einer stark vereinfachten Nachweisgleichung stellt sich dies wie auf der folgenden Seite gezeigt dar.

Konzept globaler Sicherheitsfaktor


Es gilt: vorh σ = Spannung aus Nennlast; σ R = Traglastspannung; γ global = globaler Sicherheitsfaktor; zul σ = zulässige Spannung

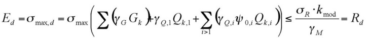
Konzept der Teilsicherheitsbeiwerte


Es gilt: γ F = γ Einwirkung = Teilsicherheitsfaktor Einwirkung ; σ S,k = Spannung aus charakteristischer Einwirkung; σ R,k = charakteristischer Tragwiderstand; γ M = γ Material = Teilsicherheitsbeiwert Material

Für den ungeübten Leser etwas unübersichtlich stellt sich dies bei Berücksichtigung mehrerer Lasten bzw. Einwirkungen in symbolischer Formelschreibweise – wiederum vereinfacht – folgendermaßen dar:

Konzept globaler Sicherheitsfaktor


Konzept der Teilsicherheitsbeiwerte


Die Werte für Nennlasten bzw. charakteristische Einwirkungen und Teilsicherheitsbeiwert-Einwirkung sind dabei den entsprechenden Vorschriften (DIN 1055) zu entnehmen.

Zulässige Spannung bzw. charakteristischer Tragwiderstand und Teilsicherheitsbeiwert-Material hingegen finden sich in den materialabhängigen Bemessungsvorschriften (hier TRXV bzw. DIN 18008).

Mit der DIN 18008 erfolgt auch für die Bemessung von Glas, der bei den anderen Baustoffen bereits erfolgte Umstieg vom „alten“ Konzept mit globalem Sicherheitsfaktor der TRXV auf das aktuelle Konzept der Teilsicherheitsbeiwerte.

Für die häufig kritisierte Verkomplizierung der Glasbemessung durch die DIN 18008 ist hauptsächlich die mit dem Konzept der Teilsicherheitsbeiwerte verbundene aufwendigere Ermittlung von Einwirkungskombinationen die Ursache, nicht die neue Glasbemessungsnorm an sich.

Tatsächlich wird in Zukunft nur noch ein Berechnungsdurchgang nötig sein, d.h. die Auflagerkräfte der Glasbemessung können unmittelbar für die weiteren Bemessungsaufgaben übernommen werden. In der Vergangenheit war eigentlich Doppelarbeit nötig: Berechnung der Einwirkungen einmal für Glasbemessung nach dem globalem Konzept sowie nochmals nach dem Teilsicherheitskonzept, etwa für Stahlunterkonstruktion oder Befestigungsdübel.

Ausblick

Die Teile 1 und 2 der DIN 18008 werden vorraussichtlich vorerst nicht in der MLTB (Muster-Liste der Technischen Baubestimmungen) als Ersatz für die TRLV aufgenommen, da ansonsten der Regelungsumfang geringer würde.

Außerdem lassen sich die beiden Teile der neuen DIN 18008-1, -2 aufgrund der unterschiedlichen Sicherheitskonzepte gegenüber TRAV und TRPV nicht ohne weiteres (d.h. laut Anpassungsrichtlinie) parallel einführen. Somit wird – zumindest bis zur Veröffentlichung der Teile 3, 4, 5 – die Anwendung von DIN 18008 Einzelfällen vorbehalten bleiben. In der Zwischenzeit werden jedoch entsprechende Hilfsmittel erarbeitet, um dann einen einfachen Umstieg zu ermöglichen. —

Literatur

[1] Musterbauordnung (kurz: MBO): aktuelle Version auf http://www.is-argebau.de

[2] Musterliste der technischen Baubestimmungen (kurz: MLTB): aktuelle Version auf http://www.is-argebau.de

[3] Technische Regeln für die Verwendung von absturzsichernden Verglasungen (TRAV), Fassung Januar 2003, DIBt-Mitteilungen Nr. 2, Berlin 2003

[4] Technische Regeln für die Verwendung von linienförmig gelagerten Verglasungen (TRLV), Fassung August 2006, DIBt-Mitteilungen Nr. 3, Berlin 2007

[5] Technische Regeln für die Bemessung und Ausführung von punktförmig gelagerten Verglasungen (TRPV), Fassung August 2006, DIBt-Mitteilungen Nr. 3, Berlin 2007

[6] DIN 18008-1: 2010-12: Glas im Bauwesen – Bemessungs- und Konstruktionsregeln – Teil 1: Begriffe und allgemeine Grundlagen

[7] DIN 18008-2: 2010-12: Glas im Bauwesen – Bemessungs- und Konstruktionsregeln – Linienförmig gelagerte Verglasungen

[8] Siebert, G.; Herrmann, T.; Haese, A.: Konstruktiver Glasbau – Grundlagen und Bemessung, in Stahlbaukalender 2007, Ernst & Sohn Verlag, Berlin 2007, S. 500-568

[9] Siebert, G.: Tragende Bauteile aus Glas - Entwurf und Bemessung, Ernst & Sohn – Verlag für Architektur und technische Wissenschaften, Berlin, 2. aktualis. und erg. Auflage 2011

[10] Allgemeine bauaufsichtliche Zulassung 70.3-74: Überkopfverglasung TEC, gültig bis 31.10. 2012

Baurechtliche Grundlagen der Glasbemessung

Bau(ordnungs)recht ist in Deutschland Ländersache. Um eine gewisse Harmonisierung zu erreichen werden sogenannte „Musterdokumente“ erstellt, die den einzelnen Bundesländern als Basis für deren Regelungen dienen. Im Folgenden dargestellte Inhalte der MBO (Musterbauordnung) und MLTB (Muster-Liste der Technischen Baubestimmungen) treffen so faktisch für die einzelnen Länder zu – auch wenn die Umsetzung etwa der MLTB unterschiedlich erfolgt: aktuell (29.04.2011) haben z.B. Berlin die Version September 2010 und Bremen erst die drei Jahre ältere Version September 2007 umgesetzt.

Ist eine Konstruktion mit Glasbauteilen auszuführen, so ist diese – wie jede bauliche Anlage – entsprechend Artikel 3 MBO „so anzuordnen, zu errichten, zu ändern und instand zu halten, dass die öffentliche Sicherheit und Ordnung, insbesondere Leben, Gesundheit und die natürlichen Lebensgrundlagen, nicht gefährdet werden“.

Neben den Regelungen für die Bauprodukte, d.h. die zur Verwendung kommenden Gläser und Beschläge sowie Werkstoffe für Unterkonstruktion oder deren Befestigung, sind für Planung, Bemessung und Kon­struktion, die in der LTB zusammengefassten Regelungen einschließlich eventuell ergänzender Anlagen als allgemein verbindlich zu beachten.

Alternativ, d.h. wenn es keine Regelungen gibt oder wenn davon nicht nur unwesentlich abgewichen werden soll, sind die dafür vorgesehenen Möglichkeiten wie allgemeine bauaufsichtliche Zulassung (abZ) oder eine Zustimmung im Einzelfall (ZiE) anzuwenden. Und dies unabhängig in welchem Umfeld sich das Bauteil befindet: das Baurecht kennt keinen „Privatbereich“ (häufig verwendete Bezeichnung für Bereiche, in denen Gültigkeit von Gesetzen als nicht erforderlich gesehen werden), wohl aber kennt die MBO Art 84 („Ordnungswidrig handelt, wer vorsätzlich oder fahrlässig … Bauprodukte ohne Ü-Zeichen verwendet … Bauarten die von Technischen Baubestimmungen wesentlich abweichen oder für die es allgemein anerkannte Regeln der Technik nicht gibt (nicht geregelte Bauarten) ohne allgemeine bauaufsichtliche Zulassung abZ, allgemeines bauaufsichtliches Prüfzeugnis abP oder Zustimmung im Einzelfall ZiE anwendet … kann mit einer Geldbuße von 500000 Euro geahndet werden.“).

Gültige, eingeführte Regeln

Entsprechend der MLTB sind für die Bemessung und Ausführung von Glasbauteilen folgende Regelungen eingeführt:

DIN 18516-4:1990-02

TRLV: 2006-08

TRAV: 2003-01

TRPV: 2006-08

Zusätzlich sind einige Anlagen dabei zu beachten. In diesen ist klargestellt, in welchen Fällen die Regelungen nicht angewendet werden müssen (TRLV und TRPV: Vertikalverglasungen mit Oberkante weniger als 4 m über Verkehrsfläche, TRLV: Dachflächenfenster bis 1,5 m 2 in Wohnräumen) oder welche Bauprodukte verwendet werden können.

Der Autor

Prof. Dr.-Ing. Geralt Siebert ist Inhaber der Professur für Baukonstruktion und Bauphysik an der Universität der Bundeswehr in München. Er ist Obmann des Normenausschusses Bemessungs- und Konstruktionsregeln für Bauprodukte aus Glas.

http://www.unibw.de/bauv4

Jetzt weiterlesen und profitieren.

+ Glaswelt E-Paper-Ausgabe – jeden Monat neu
+ Kostenfreien Zugang zu unserem Online-Archiv
+ Fokus GW: Sonderhefte (PDF)
+ Webinare und Veranstaltungen mit Rabatten
uvm.

Premium Mitgliedschaft

2 Monate kostenlos testen