_ Zu den Lösungsansätzen für „Warme Kante“ gehören Profile, die auf konventionelle Weise „offline“ zu Abstandhalterrahmen verarbeitet werden (man spricht von Profilstangen) sowie Systeme mit vollautomatischer Profilapplikation in der Isolierglaslinie direkt auf die Scheiben (flexible Systeme).
Beim Blick auf die aktuell erhältlichen Profilstangen mit gültigem BF-Datenblatt „Psi-Werte-Fenster“ fällt auf, dass die Psi-Werte ( g ) nicht gleichmäßig über das gesamte Spektrum verteilt sind, sondern in drei Segmente gruppiert werden können (siehe Tabelle): in Low, Mid und High Performance. Was bedeutet das?
In dieser Unterteilung spiegeln sich die konstruktiven und materialtechnischen Lösungsansätze der Spacer-Systeme wider: Reine Edelstahl-Abstandhalter haben vergleichsweise hohe repräsentative Psi-Werte und damit eine geringere wärmetechnische Leistungsfähigkeit (low performance); für ein exemplarisch betrachtetes Kunststoff-Fenster mit 2-fach-ISO liegen die Werte im Bereich von ca. 0,051 bis 0,047 W/(mK).
Die derzeit am häufigsten verwendeten Hybridprofile aus Kunststoff mit Edelstahl besitzen Psi-Werte von ca. 0,041 bis 0,038 W/(mK) in der Mittelklasse (mid performance).
Die wärmetechnisch besten Systeme finden sich alle im Psi-Wert-Bereich von 0,033 bis 0,031 W/(mK) (high performance).
Bis auf eine Ausnahme sind die „mid performance“-Profilstangen alle nach Typ I konstruiert (siehe auch Glaswelt 5/2015, Seite 94):
- Typ I: Profile aus einer Kombination von Kunststoff mit Edelstahl-Bandmaterial als Diffusionssperre, bei denen die Stabilität aus der Metallkomponente gewonnen wird. Weil sich der Kunststoff zusammen mit dem Metallband plastisch verformen lässt, sind diese Profile ebenso wie reine Edelstahl-Abstandhalter kalt biegbar.
- Typ II: Profile aus glasfaserverstärktem Kunststoff, die mit einer Verbundfolie als Diffusionssperre beklebt werden und die Steifigkeit aus einer hohen Faserverstärkung des Kunststoffmaterials gewinnen. Deshalb ist eine Umformung beim Biegen nur mit Erwärmen machbar. Alternativ werden solche Profile auf Gehrung gesägt und im Eckbereich verschweißt.
Die „high performance“-Lösungen unter den Profilstangen sind durchweg vom Typ II, was logisch ist, da eine weitere wärmetechnische Verbesserung durch Minimierung von metallischen Bestandteilen machbar ist. Um den Profilkörper gegen Wasserdampf- und Gasdiffusion abzudichten, werden mehrlagige Verbundfolien verwendet, wie sie aus anderen Branchen, z. B. der Verpackungs- und Lebensmittelindustrie, bekannt sind.
Mit Kompositen in die Zukunft
Die auf der glasstec 2016 vorgestellten neuen Profile entsprechen alle dem Typ II und erreichen damit sehr wahrscheinlich niedrigste Psi-Werte. „High performance“-Profilstangen dürften damit zu einem Marktsegment werden, das rasch zunimmt. Abgesehen von Variationen im Design sind sich diese Profile sehr ähnlich.
Trotz des derzeitigen Mankos, dass Profile mit Verbundfolie nicht unter die Austauschregeln der prEN 1279-1 fallen, wird mit einem Fortdauern des Trends zu Lösungen nach dieser Bauart gerechnet.
Folgende Faktoren sind dafür verantwortlich:
- Wegen des gestiegenen Warme-Kante-Anteils richten sich immer mehr Isolierglashersteller auf die maschinelle Verarbeitung von Profilstangen Typ II ein.
- Die Profile von Typ II lassen sich bis auf einzelne Ausnahmen identisch verarbeiten. Eine größere Auswahl an Lieferanten ist immer von Vorteil für den Verarbeiter, der sich auf diese Profilart eingestellt hat.
- Die mit der Schweißtechnik, aber auch z.T. die beim Warmbiegen hergestellten Ecken sind rechtwinklig und finden mit ihrer Gehrungsoptik bei den Fensterbauern Gefallen.
- Die Aussicht auf bestmögliche Werte bei der U-Wert-Olympiade führt zur konkreten Forderung nach High-Performance-Lösungen durch Fenster- und Fassadenbauer.
Wie viel besser wird der U W -Wert?
Dabei stellt sich durchaus die Frage, ob die Unterschiede der drei wärmetechnischen Leistungssegmente im Psi-Wert bei der Ermittlung der U W -Werte überhaupt eine Rolle spielen.
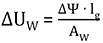
Für zwei ansonsten völlig identische Fenster, die sich nur im Randverbundsystem unterscheiden, errechnet sich der Unterschied im U W -Wert, d. h. U W wie folgt:
 
    Da diese U W -Wert-Differenz bei gleichem Fenster lediglich vom Unterschied der Psi-Werte, d. h. von g abhängt, bleibt sie bei gleicher Fenstergröße und Rahmenprofilbreite für die betrachteten Abstandhalter immer gleich, egal welche Werte für U f und U g gewählt werden (wer es nicht glaubt, möge selbst nachrechnen).
Basis für die Größenordnung der repräsentativen Psi-Werte Fenster für die unterschiedlichen Leistungsklassen von Warme-Kante-Abstandhaltern sowie die beispielhafte Verbesserung des U W -Wertes ist hier das BF-Datenblatt „Psi-Werte Fenster“, PVC-Fenster, 2-fach-Isolierglas, einflügelig 1,23 m × 1,48 m, Rahmenprofilbreite 0,11 m, Verbesserung von U W gegenüber Alu-Abstandhalter mit Psi-Wert nach DIN EN ISO 10077-1.
Eine Low-performance-Warme Kante verbessert den U W -Wert gegenüber Aluminium-Abstandhaltern lediglich um 0,08 W/(m²K), Mid-performance-Systeme verbessern ihn um 0,1 W/(m²K) und High-performance-Abstandhalter schaffen hierbei noch 2/100 mehr, d. h. 0,12 W/(m²K).
Das ist für die einen „nahezu gleich“, für manche Marketing- und Vertriebsabteilung liegen zwischen diesen Werten jedoch Welten. Die relative Größe der Verbesserung liegt eben doch immer im Auge des Betrachters.
In diesen Fällen sind Psi-Wert-Unterschiede relevant
Durch die Rundung des U W -Wertes auf die geforderten zwei wertanzeigenden Stellen*) kann eine höhere Performance, d. h. ein signifikant kleinerer Psi-Wert durchaus Vorteile bringen. Das gilt insbesondere, wenn der U W -Wert unter 1,0 W/(m²K) liegt und zwei Nachkommastellen angegeben werden.
Es muss an dieser Stelle allerdings auch gesagt werden, dass ein Unterschied im repräsentativen Psi-Wert von 0,001 oder 0,002 W/(mK), d. h. die Unterschiede innerhalb desselben Leistungssegments nicht signifikant und deshalb die Diskussion nicht wert sind.
Ein Unterschied in der Größenordnung von 0,01 bis 0,02 W/(mK) hingegen, wie z. B. zwischen Low- und High-performance-Segment, hat eine Wirkung auf den U W -Wert.
Hier sei einmal mehr der Hinweis erlaubt, dass die wärmetechnische Verbesserung im täglichen Kampf um Marktanteile zwar das meist genutzte Argument ist, jedoch nur eines von vielen Leistungskriterien darstellt, die ein gebrauchstaugliches Abstandhaltersystem über die ganze Lebensdauer der Isolierglas-Einheit erfüllen muss.
Zuverlässigkeit der wärmetechnischen Angaben
Die im Markt allgemein anerkannten BF-Datenblätter mit repräsentativen Psi-Werten für Fenster und für Fassadenprofile basieren auf einer messtechnischen Ermittlung der sogenannten äquivalenten Wärmeleitfähigkeit eines Abstandhalterprofils eq,2B . Mit ihr werden nach dem 2-Box-Modell die Psi-Wert-Angaben auf den Datenblättern ermittelt (siehe dazu Glaswelt 11/2012 sowie Glaswelt-Newsletter 09/2013).
Um die Seriosität und Zuverlässigkeit dieser vereinfachten Nachweismethode zu untermauern, wurde soeben vom BF-Arbeitskreis „Warme Kante“ beschlossen, dass die eq,2B –Werte der Systeme mit BF-Datenblatt periodisch durch Probennahme im Markt bei Verarbeitern überprüft werden sollen (die Glaswelt wird berichten).
Die Warme Kante lohnt sich
Obwohl es keinen normativen Zwang zur Verwendung von Warme-Kante-Systemen gibt, hat sich das Wissen um den Nutzen von wärmetechnisch verbesserten Abstandhaltern inzwischen gut im Markt verbreitet.
Energieverluste durch Fenster und Fassaden lassen sich mit Warme-Kante-Abstandhaltern im Isolierglasrandverbund vergleichsweise einfach, schnell und sehr wirtschaftlich minimieren. Fenster- und Fassadenbauer profitieren im Vertrieb von verbesserten U-Werten ihrer Bauelemente mit Warmer Kante.
Mit steigender Marktgröße und mit der Weiterentwicklung von Warme-Kante-Produkten vom Nischen- zum Standardprodukt nimmt allerdings auch die Attraktivität des Marktes zu, was neue Anbieter anlocken wird.
Der Markt ist gut beraten, wenn er bei der Auswahl der eingesetzten Profile besonnen und sachlich Fakten bewertet und sich nicht von Versprechungen und vollmundigen Marketingaussagen in gefährliche Risiken locken lässt.—
Fu��noten
*) Zwei wertanzeigende Stellen bedeutet:
bei U W 1,0 W/(m²K) Angabe mit einer Nachkommastelle, z. B. 1,2 W/(m²K)
bei U W < 1,0 W/(m²K) Angabe mit zwei Nachkommastellen, z. B. 0,85 W/(m²K)
Die Warme Kante
Die „Warme Kante“ bezeichnet den wärmetechnisch verbesserten Randverbund für Mehrscheiben-Isolierglas. Gegenüber den früher gebräuchlichen Aluminium-Abstandhaltern reduzieren Warme-Kante-Abstandhalter die lineare Wärmebrücke im Übergangsbereich von Glas zu Fensterrahmen oder Fassadenprofil – die einen mehr, die anderen weniger.
Die Autorin
Ingrid Meyer-Quel, Beratungsbüro für Warme Kante und Glas, berät die Branche unabhängig und produktneutral zu allen Themen rund um Isolierglas.
 
     
     
    