Springe auf Hauptinhalt Springe auf Hauptmenü Springe auf SiteSearch

Ganzglasecken mit 3-fach-ISO

Ganzglasecken und -stöße mit 3-fach-Isolierglas sind sehr komplex. Dabei sind vielfältige Anforderungen hinsichtlich Konstruktion, Einhaltung baurechtlicher Vorgaben, Energieeffizienz und vor allem auch bauphysikalischer Aspekte zu beachten. Wie man als Verarbeiter damit umgeht, erläutert der folgende Beitrag.

Wie lassen sich heute ansprechende Anschlussfugen und Glasstöße bei Ganzglasfassaden umsetzen? Dies ist nicht nur eine technische, sondern vor allem auch eine gestalterische Frage. Architekten haben dabei meist eine ganz andere Vorstellung als Verarbeiter, die mit der Umsetzung betraut sind und die die folgenden Rahmenbedingungen beachten müssen.

Grundlegende Anforderungen sind zunächst die Gebrauchtauglichkeit, die Standsicherheit und die Dauerhaftigkeit der Konstrktion bzw. der Verbindung. Das gilt  wie für jedes andere Verglasungssystem auch.

Dauerhaftigkeit
Damit ein Verglasungssystem dauerhaft funktioniert, müssen nicht nur bei Ganzglasecken folgende Einflüsse vermieden werden:
  • andauernde Feuchtigkeit auf den Randverbund,
  • UV-Strahlung,
  • unzulässige mechanische Spannungen,
  • unverträgliche Materialien,
Die Randbedingungen an die Glasfalzausbildung sind die gleichen wie bei gerahmten Konstruktionen auch. Die wesentlichen Anforderungen sind durch Regelwerke wie DIN 18545 – Glasabdichtung, Falzausbildung, TRL, TRAV, - künftig als DIN 18008 – nicht nur beschrieben, sondern auch verbindlich.

Standsicherheit der Konstruktion
Mechanische Belastungen
Mechanische Belastungen
Das Verglasungssystem muss zur Aufnahme der planbaren Lasten geeignet sein. Die wesentlichen Lasten sind hierbei Klimalasten aus dem Scheibenzwischenraum, Eigengewicht, Winddruck und Windsoglasten. Hierbei werden hohe Anforderungen an die Glasabdichtung gestellt. Zudem hat die bei einer Ganzglaseckenkonstruktion freie Glaskante einen entscheidenden Einfluss auf die Bemessung.

Die Verbindungsfuge ist hierbei grundsätzlich eine Abdichtungsfuge und nicht als statisch tragende Verklebung zu sehen. Dies hat weiterhin einen wesentlichen Einfluss auf die Bemessung der Ganzglasecke. Die Scheiben sind als dreiseitig gelagert zu betrachten, was in der Regel zu sehr hohen, zum Teil nicht mehr realisierbaren Glasdicken führt. Mit einer statisch tragenden Verklebung lassen sich zwar Glasdicken reduzieren, erfordern allerdings eine Zustimmung im Einzelfall (ZiE) oder Zulassung nach ETAG 002.

Auch an den Dicht-/Klebstoff werden hohe Anforderungen gestellt, z.B. hinsichtlich der Aufnahme von Windruck und -soglasten sowie von Scherkräften. Bei Ausführung einer derartigen Glasabdichtung ist die Verträglichkeit der eingesetzten Materialien von entscheidender Bedeutung (siehe dazu ift-Richtlinien DI-01/1 und DI-02/01).

Wärmetechnische Anforderungen

Wärmeströme an Außenecken
Wärmeströme an Außenecken
Raumecken und somit auch Ganzglasecken bilden eine geometrische Wärmebrücke. Durch den divergierenden Wärmestrom kommt es in der Ecke zu deutlich geringeren Oberflächentemperaturen. Grundsätzlich ist eine Isolierglasecke bzw. Isolierglasstoßfuge eine wärmetechnische Schwachstelle. Die Gefahr der Tauwasserbildung ist hierbei besonders hoch. Wärmetechnisch verbesserte Isolierglasabstandhalter nach EN 10077 (Anhang E) sind bei solchen Konstruktionen zu bevorzugen.

Die komplexen bauphysikalischen Eigenschaften von Ganzglasecken machen es darüber hinaus erforderlich, die vielfältigen Ausführungsmöglichkeiten wärmetechnisch und bauphysikalisch detailliert zu betrachten. So ist die aus der der DIN EN 10077 bekannte Berechnungsformel für die Uw-Wert Berechnung von gerahmten Fenstern zur Uw-Wert-Berechnung von Ganzglasecken und -stößen nicht ausreichend.

Der Uw-Wert nach DIN EN 10077:



Hier werden die Ug-Wwerte des Glases mit der Glasfläche, die Uf-Werte des Rahmens mit der Rahmenfläche und dem längenbezogenen Wärmedurchgangskoeffizienten Ψg mit der Gesamtfläche der Fensters ins Verhältnis gesetzt.

Bei den meisten Fensterkonstruktionen ist die Glas-Rahmen-Ausbildung bei allen Glaskanten gleich. Bei einer Ganzglasecke bzw. einem Ganzglasstoß ist dies nicht der Fall. Hier sind ja nur drei Glaskanten gerahmt. Dies macht eine zusätzliche Rechentechnische Betrachtung notwendig.

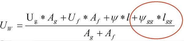
Der Uw-Wert einer solchen Konstruktion lässt sich in Anlehnung an die DIN EN 10077 wie folgt berechnen:

Der Uw-Wert einer Gnazglasecke in Anlehnung an die DIN EN 10077:



Die Einführung eines zusätzlichen längenbezogen Wärmedurchgangskoeffizienten für die Glas-Glas-Anbindung Ψgg * lgg ist hier erforderlich. Dazu hat die Arbeitsgruppe Wärmeschutz des Verbands Fenster und Fassade (VFF), Frankfurt, in Zusammenarbeit mit dem ift-Rosenheim grundlegende Arbeiten geleistet. Das Ergebnis dieser Arbeit ist als VFF-Merkblatt V07 „Glasstöße und Ganzglasecken in Fenstern und Fassaden“ erschienen

Betrachtung von Ψgg-Werten

Nachfolgend die Betrachtung von Ψgg- Werten („Psi – gg“ oder „Psi – ganz – glas“ ausgesprochen) und bauphysikalischen Aspekten einiger ausgewählten Konstruktionen. Für die nachstehenden Berechnungsbeispiele wurden folgende Festlegungen getroffen:

Berechnungsbeispiel von Ψgg- Werten
Berechnungsbeispiel von Ψgg- Werten


Einfache Konstruktion einer Glaseck

Ausführung als einseitiges Stufenglas
Ausführung als einseitiges Stufenglas


Ausführung als einseitiges Stufenglas mit asymmetrische Ansicht: Der Dampfdruckausgleich ist aufgrund der schwierigen Montage der Hinterfüllschnur nicht immer gewährleistet. Die eehr niedrige Oberflächentemperatur in der Ecke birgt ein hohes Tauwasserrisiko. Ψgg = 0.15 W’/(mK).

Ganzglasstoß mit Fugenkompressionsprofil

Ganzglasstoß mit Fugenkompressionsprofil
Ganzglasstoß mit Fugenkompressionsprofil


Ein Dampfdruckausgleich ist bei einem Ganzglasstoß durch das Fugenkompressionsprofil möglich und muss auch an den Kreuzungspunkten sauber ausgeführt werden. Hier besteht ein erhöhtes Risiko der Kondensatbildung. Ψgg = 0.22 W’/(mK).

Ganzglasecke mit Dichtprofil und Verbindungsblech

Ganzglasecke mit Dichtprofil und Verbindungsblech
Ganzglasecke mit Dichtprofil und Verbindungsblech


Auch bei dieser Konstruktion ist der Dampfdruckausgleich durch Fugenkompressionsprofil möglich. Die Ansichtbreite der Ecke (> 40 mm) ist ehr hoch. Die Klebefugen zwischen Blech und Glas müssen bezüglich Last und thermischer Dehnung (z. B. gemäß ETAG002 > 6 mm x 6 mm) bemessen werden.

Hohe thermische Belastungen an der Eckausbildung können die Verwendung von Einscheibensicherheitsglas (ESG) erforderlich machen. Außerdem sind geschliffene Glaskanten zur sauberen Montage empfehlenswert. Ein Verbindungsblech wirkt als „Wärmefühler“ und erhöht die Oberflächentemperatur in der Ecke. Die Wärmeleitung in der Ecke wird allerdings verbessert, so daß sich der Ψgg-Wert stark erhöht. Ψgg = 0.30 W’/(mK).

Visuelle Aspekte von Ganzglasstößen und -ecken
Für ein gleichmäßiges Erscheinungsbild ist eine Bearbeitung der hervorstehenden Kanten von Stufenisoliergläsern empfehlenswert (feingeschliffen oder poliert). Im Allgemeinen muss der Randverbund der verwendeten Isoliergläser vor UV-Strahlung geschützt werden.

Dies wird meist durch einen Siebdruckstreifen auf Position 2 des Isolierglases erreicht. Bei VSG-Konstruktionen wird dies oftmals mit einer Silikonbeschichtung ausgeführt. Bei Einsatz von VSG ist besonders die thermische Belastungssituation zu überprüfen, um die Dauerhaftigkeit des Laminats sicherzustellen. Fertigungstechnische Merkmale können am Randverbund sichtbar werden.

Energetische Aspekte
Energetische Aspekte spielen neben Gestaltungswünschen eine zunehmend wichtigere Rolle. Ein großer Einflussfaktor auf die wärmetechnische Leistungsfähigkeit von Verglasungen ist die Wärmeleitung im Randbereich. Bei modernen Fensterkonstruktionen wird der Glasrandbereich durch gut dämmende Profilsysteme „eingebettet“. Dies entfällt bei Ganzglasecken und -stößen. Besonders deutlich werden diese Eigenheiten, wenn man die längenbezogenen Wärmedurchgangskoeffizienten verschiedener Systeme betrachtet.

Die Tabelle zeigt exemplarisch konventionelle Fenstersysteme:

Tabelle: Konventionelle Fenstersysteme (exemplarische Auflistung)
Tabelle: Konventionelle Fenstersysteme (exemplarische Auflistung)


Die Ψgg -Werte von Glasecken und -stößen sind etwa eine Zehnerpotenz höher als bei allseitig gerahmten Konstruktionen. Dies hat  sowohl massive Auswirkungen auf den U-Wert dieser Verglasungen als auch auf den Ucw-Wert von Vorhangfassaden.
 
Fazit
Ganzglasstöße und -ecken sind fertigungstechnisch, montagetechnisch und bauphysikalisch komplexe Konstruktionen, die eine sorgfältige, detaillierte Planung erfordern. Grundsätzlich ist es empfehlenswert, den Isolierglashersteller so früh wie möglich in die Planung einer derartigen Verglasung einzubeziehen.

Quellen:
  • DIN EN 10077
  • DIN EN 4108
  • VFF Merkblatt V.07 „Glasstöße und Ganzglasecken in Fenster und Fassaden“
  • Mit freundlicher Genehmigung und besonderem Dank an den VFF – Verband der Fenster- und Fassadehersteller e.V.

Der Autor
Ralf Vornholt, Marketing Technik der Saint-Gobain Glass Deutschland GmbH.